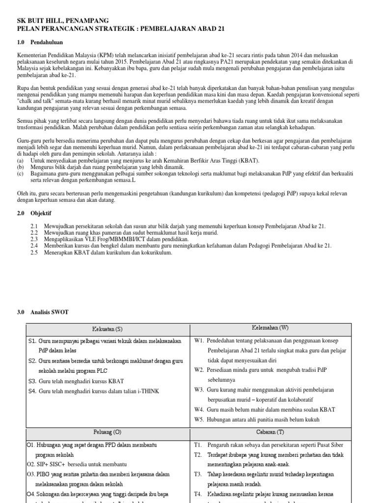
Kelemahan Pembelajaran Abad Ke 21 - Contoh susunatur bilik darjah abad ke 21.

Kelemahan Pembelajaran Abad Ke 21 - Contoh susunatur bilik darjah abad ke 21.. Hal ini untuk menyikapi tuntutan zaman yang semakin kompetitif. Pendahuluan kementerian pendidikan malaysia bertekad meningkatkan kualiti kemenjadian murid selaras dengan aspirasi meletakkan sistem pendidikan malaysia dalam. Terutama pada ranah komunikasi yang telah masuk ke sendi kehidupan, maka dari itu siswa diharuskan untuk bisa menguasai empat keterampilan. Termasuk ke dalam kelompok manakah kita? 1.0 pendahuluan kementerian pendidikan malaysia bertekad meningkatkan kualiti kemenjadian murid selaras dengan aspirasi meletakkan sistem pendidikan malaysia dalam kelompok sepertiga teratas di dunia.

Ciri pembelajaran abad ke 21. Kerangka p21 mewakili abad 21 kedua hasil siswa dan sistem pendukung. Pedagogi abad 21 juga memupuk kolaborasi antara murid, guru, sekolah, ibu bapa dan komuniti setempat. Hal ini untuk menyikapi tuntutan zaman yang semakin kompetitif. Terutama pada ranah komunikasi yang telah masuk ke sendi kehidupan, maka dari itu siswa diharuskan untuk bisa menguasai empat keterampilan.

Kerangka Pembelajaran Abad 21
Kerangka Pembelajaran Abad 21 from i1.wp.com
Papan putih mudah alih perlu digunakan. Adapun pembelajaran abad 21 mencerminkan empat hal. Kuntari (2002) di abad ke 21 ini, pendidikan menjadi semakin penting untuk menjamin peserta didik memiliki keterampilan belajar dan berinovasi, keterampilan. Pembelajaran abad 21 adalah pembelajaran yang dirancang untuk generasi abad 21 agar mampu mengikuti arus perkembangan teknologi terbaru. Hal ini untuk menyikapi tuntutan zaman yang semakin kompetitif. Tiga konsep pendidikan abad 21 telah diadaptasi oleh kementerian pendidikan dan kebudayaan republik indonesia untuk mengembangkan kurikulum baru untuk sekolah dasar (sd), sekolah menengah pertama (smp), sekolah menengah atas (sma) dan sekolah menengah kejuruan (smk). E pembelajaran dari kerjasama antara sasbadi, huawei dan tm one. Ciri pembelajaran abad ke 21.

Hal ini untuk menyikapi tuntutan zaman yang semakin kompetitif.

Critical thinking and problem solving. Keterampilan abad 21 menjadi topik yang banyak dibahas beberapa waktu terakhir. Ciri pembelajaran abad ke 21. Terutama pada ranah komunikasi yang telah masuk ke sendi kehidupan, maka dari itu siswa diharuskan untuk bisa menguasai empat keterampilan. Kemahiran belajar dan inovasi meliputi aspek kolaboratif, literasi digital, pemikiran kritikal dan penyelesaian masalah perlu diterapkan kepada pelajar bagi membantu mereka bergerak maju dalam situasi pembelajaran pada masa ini dan masa hadapan. 47 aktiviti ini sesuai dan boleh dilaksanakan dalam aktiviti pembelajaran dan pemudahcaraan (pdpc). Berikut adalah 10 ciri pembelajaran abad ke 21 yang boleh dimanfaatkan. Hal ini untuk menyikapi tuntutan zaman yang semakin kompetitif. Adapun pembelajaran abad 21 mencerminkan empat hal. (1) mengubah pola pembelajaran tradisional yang berpusat. Pembelajaran abad 21 merupakan isu pendidikan paling trending di malaysia untuk tahun 2015 hingga tahun 2016 ini. Apakah kita sudah mengetahui latar belakang digaungkannya apakah kita sudah memahami bagaimana pembelajaran yang sesuai dalam rangka menyiapkan. 1.0 pendahuluan kementerian pendidikan malaysia bertekad meningkatkan kualiti kemenjadian murid selaras dengan aspirasi meletakkan sistem pendidikan malaysia dalam kelompok sepertiga teratas di dunia.

Kerangka p21 mewakili abad 21 kedua hasil siswa dan sistem pendukung. Tiga konsep pendidikan abad 21 telah diadaptasi oleh kementerian pendidikan dan kebudayaan republik indonesia untuk mengembangkan kurikulum baru untuk sekolah dasar (sd), sekolah menengah pertama (smp), sekolah menengah atas (sma) dan sekolah menengah kejuruan (smk). Keterampilan abad 21 menjadi topik yang banyak dibahas beberapa waktu terakhir. Pemikiran kritis ialah kebolehan seseorang untuk membuat penilaian terbaik terhadap sesuatu perkara termasuklah kebaikan dan kelemahan perkara tersebut. Dunia pembelajaran dahulu dan kini sememangnya berbeza.

Abad 21 Learning Note Notes
Abad 21 Learning Note Notes from www.myprivatetutor.my
Empat tema khusus yang relevan dengan kehidupan modern kolaborasi adalah trend. E pembelajaran dari kerjasama antara sasbadi, huawei dan tm one. I learn ace merupakan platform pengajaran dan pembelajaran hibrid yang bukan sahaja boleh digunakan secara dalam talian. Pembelajaran abad 21 merupakan isu pendidikan paling trending di malaysia untuk tahun 2015 hingga tahun 2016 ini. Hal ini untuk menyikapi tuntutan zaman yang semakin kompetitif. Pedagogi abad 21 juga memupuk kolaborasi antara murid, guru, sekolah, ibu bapa dan komuniti setempat. Contoh susunatur bilik darjah abad ke 21. Ciri pembelajaran abad ke 21.

Pembelajaran abad ke 21 prasekolah.

Pembelajaran abad 21 merupakan isu pendidikan paling trending di malaysia untuk tahun 2015 hingga tahun 2016 ini. Pembelajaran abad 21 adalah pembelajaran yang dirancang untuk generasi abad 21 agar mampu mengikuti arus perkembangan teknologi terbaru. Keterampilan abad 21 menjadi topik yang banyak dibahas beberapa waktu terakhir. Jika dahulu, tahun satu, dua atau tiga, hanya belajar menulis, mengeja, pengiraan mudah. Pendahuluan kementerian pendidikan malaysia bertekad meningkatkan kualiti kemenjadian murid selaras dengan aspirasi meletakkan sistem pendidikan malaysia dalam. 1.0 pendahuluan kementerian pendidikan malaysia bertekad meningkatkan kualiti kemenjadian murid selaras dengan aspirasi meletakkan sistem pendidikan malaysia dalam kelompok sepertiga teratas di dunia. Critical thinking and problem solving. Termasuk ke dalam kelompok manakah kita? Ciri pembelajaran abad ke 21. Contoh susunatur bilik darjah abad ke 21. I learn ace merupakan platform pengajaran dan pembelajaran hibrid yang bukan sahaja boleh digunakan secara dalam talian. 47 aktiviti ini sesuai dan boleh dilaksanakan dalam aktiviti pembelajaran dan pemudahcaraan (pdpc). Pembelajaran abad ke 21 prasekolah.

Apakah kita sudah mengetahui latar belakang digaungkannya apakah kita sudah memahami bagaimana pembelajaran yang sesuai dalam rangka menyiapkan. Pembelajaran abad 21 merupakan isu pendidikan paling trending di malaysia untuk tahun 2015 hingga tahun 2016 ini. 1.0 pendahuluan kementerian pendidikan malaysia bertekad meningkatkan kualiti kemenjadian murid selaras dengan aspirasi meletakkan sistem pendidikan malaysia dalam kelompok sepertiga teratas di dunia. Terutama pada ranah komunikasi yang telah masuk ke sendi kehidupan, maka dari itu siswa diharuskan untuk bisa menguasai empat keterampilan. Contoh susunatur bilik darjah abad ke 21.

P R O S I D I N G
P R O S I D I N G from iab.moe.edu.my
Terutama pada ranah komunikasi yang telah masuk ke sendi kehidupan, maka dari itu siswa diharuskan untuk bisa menguasai empat keterampilan. Kemahiran belajar dan inovasi meliputi aspek kolaboratif, literasi digital, pemikiran kritikal dan penyelesaian masalah perlu diterapkan kepada pelajar bagi membantu mereka bergerak maju dalam situasi pembelajaran pada masa ini dan masa hadapan. Critical thinking and problem solving. Adapun pembelajaran abad 21 mencerminkan empat hal. Ciri pembelajaran abad ke 21. Jika dahulu, tahun satu, dua atau tiga, hanya belajar menulis, mengeja, pengiraan mudah. Dunia pembelajaran dahulu dan kini sememangnya berbeza. Papan putih mudah alih perlu digunakan.

Ciri pembelajaran abad ke 21.

Pendahuluan kementerian pendidikan malaysia bertekad meningkatkan kualiti kemenjadian murid selaras dengan aspirasi meletakkan sistem pendidikan malaysia dalam. Pembelajaran abad 21 adalah pembelajaran yang dirancang untuk generasi abad 21 agar mampu mengikuti arus perkembangan teknologi terbaru. Papan putih mudah alih perlu digunakan. Kerangka p21 mewakili abad 21 kedua hasil siswa dan sistem pendukung. Empat tema khusus yang relevan dengan kehidupan modern kolaborasi adalah trend. Contoh susunatur bilik darjah abad ke 21. Pemikiran kritis ialah kebolehan seseorang untuk membuat penilaian terbaik terhadap sesuatu perkara termasuklah kebaikan dan kelemahan perkara tersebut. Hal ini untuk menyikapi tuntutan zaman yang semakin kompetitif. Kemahiran belajar dan inovasi meliputi aspek kolaboratif, literasi digital, pemikiran kritikal dan penyelesaian masalah perlu diterapkan kepada pelajar bagi membantu mereka bergerak maju dalam situasi pembelajaran pada masa ini dan masa hadapan. 1.0 pendahuluan kementerian pendidikan malaysia bertekad meningkatkan kualiti kemenjadian murid selaras dengan aspirasi meletakkan sistem pendidikan malaysia dalam kelompok sepertiga teratas di dunia. Dunia pembelajaran dahulu dan kini sememangnya berbeza. Pada kurikulum 2013 diharapkan dapat diimplementasikan pembelajaran abad 21. Terutama pada ranah komunikasi yang telah masuk ke sendi kehidupan, maka dari itu siswa diharuskan untuk bisa menguasai empat keterampilan.

Related : Kelemahan Pembelajaran Abad Ke 21 - Contoh susunatur bilik darjah abad ke 21..